メカトロニクス入門の各種資料へ

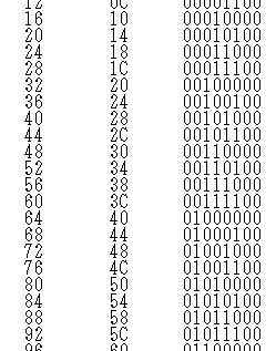
Excel(エクセル)で作成した10進数を16進数と2進数に変換した表です

16進数・2進数表はI/Oボード等のプログラミングでよく使います



無料ダウンロード
16進数・2進数変換表のテンプレート

エクセル16進数・2進数変換表
0から255までの8ビットの変換表です。
DEC2HEX関数とDEC2BIN関数を使用しています。



メカトロニクス入門の各種資料へ

このサイトの内容を利用して発生した、いかなる問題にも一切の責任は負いませんのでご了承下さい。


Copyright (c) FeedSoft All rights reserved.